中央人民政府门户网
|
湖南省人民政府门户网
|
衡阳市人民政府门户网
设为首页
|
无障碍浏览
|
收藏
站群导航
市直单位
市发改委
市教育局
市科技局
市工业和信息化局
市民族宗教事务局
清风衡阳网
市公安局
市民政局
市司法局
市财政局
市人社局
市自然资源和规划局
市生态环境局
市住房和城乡建设局
市交通运输局
市水利局
市医疗保障局
市农业农村局
市商务局
市文化旅游广电体育局
市卫生健康委员会
市审计局
市退役军人事务局
市应急管理局
市国资委
市林业局
市市场监管局
市统计局
市城管局
市国动办
市信访局
市住房保障服务中心
市公共资源交易网
市住房公积金管理中心
市公路建设养护中心
市科协
高新技术产业开发区
松木经开区
首页
信息公开
网上办事
互动交流
信用衡阳
党建风采
您好!今天是
信息公开
>
民生价格
>
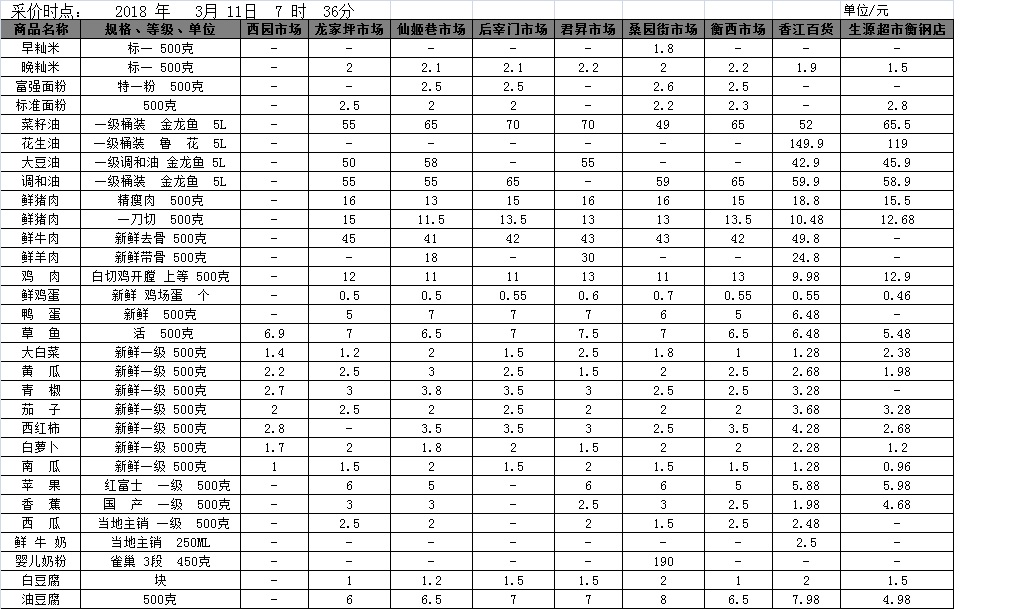
【物价】 2018-3-11衡阳市民生价格信息
来源:各大超市集市提供 发布时间:2018-03-11
相关阅读:
友情链接
国家部委网站
外交部
教育部
中央政府门户网站
公安部
科技部
发展改革委
司法部
民政部
国家监察委员会
住房和城乡建设部
自然资源部
人力资源和社会保障部
人资社保部
农业农村部
水利部
工业和信息化部
交通运输部
国资委
审计署
人民银行
卫生健康委员会
质监总局
国家市场监督管理总局
税务总局
中国民航局
统计局
安全监管总局
体育总局
国家广播电视总局
林业局
机关事务管理局
参事室
台办
港澳办
侨办
工程院
新华社
新闻办
证监会
气象局
地震局
粮食局
信访局
社保基金会
文物局
烟草局
档案局
外汇局
中医药局
省政府及厅级网站
省市场监督管理局
湖南三湘风纪网
省水利厅
省交通厅
省文化厅
省地方税务局
国家税务总局湖南省税务局
省国有资产监督管理委员会
省审计厅
省统计局
省体育局
省参事室
省机关事务管理局
省应急厅
省粮食局
省旅游局
省商务厅
省发改委
省知识产权局
省公安厅
省经委
省国土资源厅
省人事厅
省财政厅
本省市州政府网站
衡阳市
长沙市
岳阳市
常德市
益阳市
湘潭市
株洲市
怀化市
永州市
娄底市
郴州市
邵阳市
湘西州
张家界市
新闻媒体网站
中国中央电视台
中华网
新华网
人民网
红网
腾讯网
网易
新浪网
衡阳全搜索
中国衡阳新闻网
凤凰网