您好!今天是

关于印发《钟表价格认定规则》的通知

来源: 发布时间:2016-01-04

                                        发改价证办[2015]310

 

 

                                   关于印发《钟表价格认定规则》的通知

 

各省、自治区、直辖市价格认证中心、价格认证局、价格认定局、价格认证办公室、价格鉴定监测管理局:

    为进一步规范涉案钟表价格认定工作,我们制定了《钟表价格认定规则》,现印发你们,请依照执行。在实行执行过程中发现问题请及时向我中心反馈。

 

附件:《钟表价格认定规则》

 

 

 

                                                            国家发展改革委价格认证中心

                                                                                                                                                             20151231

 

 

附件

                                            钟表价格认定规则

 

 

                                    第一章    总则

第一条为规范涉案钟表价格认定工作,统一操作方法和标准,保证价格认定结论客观公正,保障纪检监察、司法工作的顺利进行,根据国家有关法律法规和规范性文件,结合涉案钟表价格认定工作实际,制定本规则。

第二条本规则适用于各级政府价格主管部门设立的价格认定机构对涉嫌违纪案件、涉嫌刑事案件中涉及的价格不明或价格有争议的钟表进行的价格认定。

第三条价格认定机构应要求办案机关在价格认定协助书中明确涉案钟表的真伪。

第四条涉案钟表已灭失的,应要求办案机关明确其真伪、品牌、完整型号、基准日实物状态。

有附带的发票、收据、价签、保修卡、说明书、证书、包装盒、照片等其他证据的,也应要求办案机关一并提供。

第五条价格认定人员应结合价格认定协助书及相关材料进行实物勘验,必要时可请相关专家参加。其中:

(一) 如涉案钟表有发票、收据、价签、保修卡、说明书、证书、包装盒等附带材料(以下简称附带材料)的,应比对其与涉案钟表的关联性、真实性和准确性。对涉案钟表附带材料存疑时,应要求办案机关明确。

(二) 应注意涉案钟表在实物勘验日与价格认定基准日的实物状况差异。无法确定涉案钟表基准日实物状态的,应要求办案机关书面予以明确。

(三) 应对涉案钟表的正面、背面、侧面、品牌标识、所有外观可见号码和标记、磨损部位、附带材料拍摄照片。

 

                             第二章    涉案新钟表价格认定

第六条涉案新钟表是指感官未见使用痕迹或保存不当造成损害,各项性能和功能正常的钟表。

第七条涉案新钟表的价格认定采用市场法,采用市场法有困难的,可采用专家法。

第八条价格认定人员可通过以下途径调查涉案钟表价格资料。

(一)正规流通渠道的实体销售专卖店、品牌销售专柜询价。

(二)制造商或其授权的经销商提供的价格资料。

(三)制造商或其授权的经销商通过其网站或其他正规媒体发布的价格信息。

(四)经确认关联性、真实性和准确性的涉案钟表发票、价签、收据。

(五)专业机构、行业专家提供的咨询意见。

第九条参照物按以下方法选取:

(一) 与涉案钟表相同品牌,相同型号,可以取得价格认定基准日相同价格类型市场资料的,应采用其作为参照物。

(二) 不符合前款条件,在与涉案钟表同一品牌、相同机芯类别中,按以下主次顺序或综合以下要素选取最接近涉案钟表的参照物:相同外观型制;相同机芯型号;相同材质或同档次材质;相同功能。对参照物在价格认定基准日的价格应进行外观型制、机芯型号、材质、功能等因素调整。

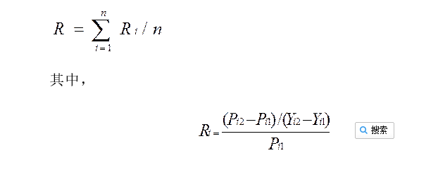
第十条对能够找到与涉案钟表相同品牌、相同型号,但无法取得价格认定基准日相同价格类型市场资料的,可通过交易时间因素修正,采用涉案钟表品牌的年平均价格变化幅度进行调整。年平均价格变化幅度可通过选取相同品牌6个以上不同型号钟表、计算每个型号间隔3年以上的价格变化百分比除以间隔时间的平均数确定。

 

其中R为某品牌钟表价格年平均变化率,n为样本数,Ri为同品牌同型号手表价格年平均变化率,Pi1Pi2为同型号钟表不同年份的价格,Yi1Yi2为相应价格的年份。

第十一条能够取得本地区价格的,采用本地区价格;无法取得本地区价格的,采用国内(不含港澳台地区)价格,可不做地域调整;无法取得国内(不含港澳台地区)价格的,可参考国外售价,并考虑有关税费。

第十二条涉案钟表附带材料一般不单独计算价格,缺失时不需要从总价中扣减。

 

                          第三章    涉案旧钟表价格认定

第十三条涉案旧钟表是指感官可见使用痕迹、保存不当造成损害,或性能和功能不正常的钟表。

第十四条涉案旧钟表的价格认定采用市场法;采用市场法有困难的,可采用成本法或专家法。

第十五条成本法按以下公式计算:

涉案旧钟表的价格=重置成本×新旧钟表市场价格差异修正系数×成新率+残值

其中,重置成本按照本规则第二章中市场法有关规定确定;成新率根据涉案旧钟表外观可见部位磨损状况、功能性能情况和使用年限等因素综合确定;新旧钟表市场价格差异修正系数按钟表原产地、类别、零售价区间、功能、贵金属或宝石等五个要素综合分析确定,一般情况下瑞士产区钟表的系数为70%-60%,非瑞士产区钟表的系数为70%-40%

第十六条含有贵金属或宝石的涉案旧钟表,认定价格不低于残值,残值按贵金属或宝石的回收价格计算。不含有贵金属或宝石的,残值可忽略不计。

                        第四章 涉案毁坏钟表损失价格认定

第十七条涉案钟表的毁坏程度和需维修或更换的部件由办案机关确定。

第十八条毁坏钟表分为部分毁坏和完全毁坏:

(一)部分毁坏是指毁坏钟表的功能、性能可以通过更换零配件和维修等技术手段修复,并能正常使用。

(二)完全毁坏是指毁坏钟表在现有技术条件下无法修复或维修后不能按照原有功能、性能继续使用。

第十九条部分毁坏的涉案钟表,其损失价格应以涉案钟表制造商或维修机构公示的修复价格扣减更换部件的残值计算。

第二十条部分毁坏的古董钟表,其损失价格按照省级以上博物馆修复部门的修复价格扣减更换部件的残值计算。修复后古董钟表的价格与毁坏前的价格有差异的,可根据博物馆提供的专业意见,对损失价格予以修正。省级以上博物馆未出具修复证明和修复意见的,可采用专家法认定损失价格。

第二十一条完全毁坏的涉案钟表,其损失价格以涉案钟表毁坏前的价格扣减毁坏后的残值计算。

第二十二条部分毁坏的涉案钟表,测算的损失价格超过毁坏前价格扣减残值的,按完全毁坏确定损失价格。

第二十三条毁坏钟表及更换部件的残值,按本规则第十六条的规定计算。

 

                              第五章 涉案假冒钟表价格认定

第二十四条涉案假冒钟表是指使用与被假冒钟表完全相同,或者在视觉上基本无差别、足以对公众产生误导的注册商标的钟表。

本章内容适用于以涉案假冒钟表为标的价格认定,侵犯知识产权案件中涉及的涉案钟表价格认定按有关规定办理。

第二十五条涉案假冒钟表的价格可按下列情况认定:

(一)使用原厂机芯和非原厂表壳,表壳由贵金属制造或宝石镶嵌的,可按被假冒钟表市场零售价的10%25%计算。

(二)使用原厂机芯和非原厂表壳,表壳由非贵金属制造或无宝石镶嵌的,被模仿对象市场零售价高于等于1.5万元时,可按被模仿对象市场零售价的5%10%计算;被模仿对象市场零售价低于1.5万元时,可按被模仿对象市场零售价的10%20%计算。

(三)使用非原厂机芯和非原厂表壳,感官识别制造工艺较好的,可结合市场情况按小于被模仿对象市场零售价的5%计算;制造工艺比较粗糙的,可按小于被模仿对象市场零售价的2%计算。

 

                               第六章 附则

第二十六条国家法律、法规另有规定的,从其规定。

第二十七条本规则由国家发展改革委价格认证中心负责解释。

第二十八条本规则自201651日起执行。

附件:《钟表价格认定勘验参考表》

 

附件:

涉案钟表价格认定勘验参考表

填表人:                                    填表时间:

委托文号

编号

中文名称

英文标识

外形

圆形□   方形□   酒桶形□   其他                

外壳直径(mm

圆形Φ______      方形___X___          其它___  ___

标记描述

 

表壳外观可见号码

 

外观磨损状况:

表带外观可见号码

 

表扣外观可见号码

 

附带材料描述:

 

出厂型号

 

机芯类型

机械□ 石英□ 其他          

功能:机械表:手动□ 机械自动□ 日历□ 星期□ 月历□ 月相□ 星辰□ 

计时码表□ 动力储存□ 双时区□ 万年历□ 陀飞轮□ 响闹□ 打簧问表□ 整点报时□ 防水□防磁□ 防震□ 其他:                            

石英表:指针式□ 液晶式□ 双显□ 日历□ 星期□ 月历□ 月相□ 星辰□

响闹□ 双时区□ 防水□ 防磁□ 防震□ 其他:                      

表壳材质

 

表带材质

 

表扣材质

 

镶嵌宝石

 

备注:

 

相关阅读: